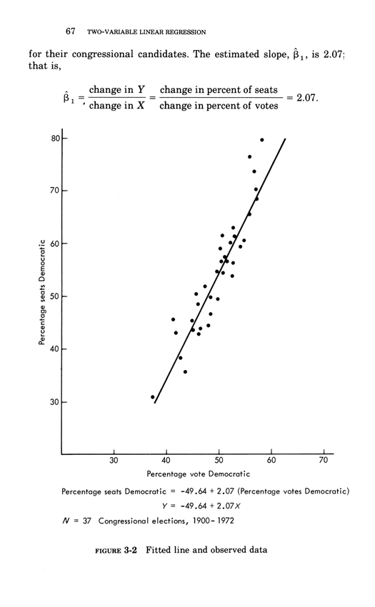
Two-variable linear regression
January 14, 2013 | Edward Tufte
0 Comment(s)
This essay below comes from Edward Tufte, Data Analysis for Politics and Policy,
a classic textbook which had 17 printings in paperback.
a classic textbook which had 17 printings in paperback.
This book is now available as an e-book, the price is $9. Order here.
You will receive the 179-page book immediately.
Thanks, ET
Below, the third chapter of Edward Tufte’s Data Analysis for Politics and Policy.






































































Topics: E.T., Science

