The magical number seven, plus or minus two: Not relevant for design
Now and then the narrow bandwidth of lists presented on computer screens and bullet points on PowerPoint slides is said to be a virtue, a claim justified by loose reference to George Miller’s classic 1956 paper “The Magical Number Seven, Plus or Minus Two.” That essay reviews psychological experiments that discovered people had a hard time remembering more than about 7 unrelated pieces of really dull data all at once. These studies on memorizing nonsense then led some interface designers to conclude that only 7 items belong on a list or a slide, a conclusion which can be sustained only by not reading the paper. In fact Miller’s paper neither states nor implies rules for the amount of information to be shown in a presentation (except possibly for slides that consist of nonsense syllables that the audience must memorize and repeat back to a psychologist). Indeed, the deep point of Miller’s paper is to suggest strategies, such as placing information within a context, that extend the reach of memory beyond tiny clumps of data. George A. Miller, “The Magical Number Seven, Plus or Minus Two: Some Limits on Our Capacity for Processing Information,” Psychological Review, 63 (1956), 81-97 (here).
At Williams College in September 2000, I saw George Miller give a presentation that used an optimal number of bullet points on an optimal number of slides—zero. Just a nice straightforward talk with a long narrative structure. (George and I were there to pick up honorary degrees during the dedication of a new science building at Williams College. In addition, Donald Knuth’s talk as well as my own deployed no bullet lists.)
“Williams College to Honor Eight Renowned Scientists,” September 23, 2000.


I frequently find rules with “six” as the magic number of bullets. But today I came across this expanded rule from the American College of Radiology.
“Follow the 666 rule: Use no more than six words per bullet, six bullets per image, and six word slides in a row. Any more words per bullet, and you don’t have a bullet. More than six bullets per slide are difficult to read. By the end of six text filled slides you have been talking for about 10 minutes without a visual.”
While the limit of six slides is a mercy, I expect that soon someone will demand that those six words be no longer than six letters.
The 6-line-only rule seems to come up in witless PP presentations on how to make witless PP presentations. Here is the full 666 rule in action, the Haiku Rule for presentations:
Here is a comment by the George Miller on the scope and relevance of his classic essay:
From: George Miller
To: Mark Halpern
Subject: Re: citation for your disclaimer
Many years ago landscape architects used my +/-7 paper as a basis to pass local laws restricting the number of items on a billboard. It was funded by the big motel chains; if you run a mom-and-pop motel you have to put a lot of information on your sign, but if you have a franchise everybody knows you have hot and cold running water, color televisions, free breakfasts, etc. The restriction on billboard content was driving the small motels out of business.
The same argument was used in the Lady Bird Johnson Act to prohibit billboards within X feet of highways, and the billboard industry (a strange group that deserves an essay of its own) was hurting. They hired a man to travel around from town to town trying to refute the claims that more than 7 items of information could cause accidents. The man’s wife did not like her husband being constantly on the road, so she asked him about it. He told her that the root of his trouble was some damn Harvard professor who wrote a paper about 7 bits of information. She, being herself a psychologist, said that she did not think that that was what Professor Miller’s paper said.
Armed with this insight, he looked me up and told me the whole story about my career, unknown to me, in the billboard industry. There was much more to it than I have outlined here, and I was shocked. So shocked that I wrote a long letter thing to set the record straight. The letter was published in the monthly journal of the billboard industry and that was the end of it. Unfortunately, I no longer have a copy of the letter an I don’t recall the name of the journal (this was all back in the early 70s) so I cannot quote to you its contents. But the point was that 7 was a limit for the discrimination of unidimensional stimuli (pitches, loudness, brightness, etc.) and also a limit for immediate recall, neither of which has anything to do with a person’s capacity to comprehend printed text.
If you want to quote the original article, it is on line and you can find a pointer to it at http://www.cogsci.princeton.edu/~wn. But if that is too time consuming—yes, you are right: nothing in my paper warrants asking Moses to discard any of the ten commandments.
Good luck,
g.
(source)
In the participant’s manual for a course titled “Developing Successful Proposals,” created by Information Mapping, Inc., 1988, there is a statement on page 5-A-1 that “A manageable unit of information is defined by researchers as 7 +/- 2 units of information.” This statement refers to the information mapping concept of “chunking” (not to be confused with how the term chunking is used in cognitive psychology). In information mapping, chunking refers to delivering information in bite-sized morsels.
In considering breadth, you should be sensitive to the cognitive limits of the human mind. Particularly with ambiguous organization schemes, try to follow the seven-plus-or-minus-two rule. Web sites with more than ten options on the main menu can overwhelm users
Morville, Peter., and Rosenfeld, Louis. Information Architecture for the World Wide Web (Sebastopol: O’Reilly, 1998), 38.
For some web designs, it is hard to identify the “main menu”.
For Arts & Letters Daily what must be the main menu has hundreds of items; for the New York Times again it is not clear what the main menu is (the 4 major news stories?); for Google News, the main menu might have 7 and the other candidate for the main menu might have 50 to 100. For this site, 11 in the nav bar. But does it matter how many links are in a particular box when there are dozens of other links adjacent?
For a telephone book, thousands of items. Would this 7 +/-2, or in the quote above 11, strategy apply to the design of a telephone book?
Another citation, what I believe is an appropriate use of Miller’s ideas:
Raskin, Jef. The Humane Interface p. 37 (Reading, MA: Addison-Wesley, 2000).
Here’s another one, from Stephen M. Kosslyn, Elements of Graph Design (1994), a book confirming that psychology is for graphics like ornithology is for the birds.
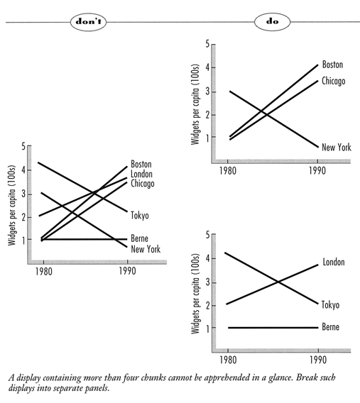
Whether a statistical graphic can be “apprehended at a glance” is not a useful standard for graphics, at least if graphics are to be something other a than decorative logo. Every paragraph in a newspaper longer than 2 or 3 sentences flunks this standard.
Comparing one clunky graphic with pretend data [“widgets per captia (100s)”] with two clunky graphics with pretend data yields no intellectual or design leverage. Probably the best way to show these pretend data is in the form of a simple table of the type seen every data table in every sports section. Show 4 columns—nouns, 1980 performance, 1990 performance, and the difference between them. The nouns should probably be ordered by the difference between 1990 and 1980, just like wins/losses and games behind in baseball tables.
Here’s a thought experiment: suppose a study showed that undergraduates taking Psych 101A remembered only one thing about psychology one week after the semester ended. Does that mean then that our data graphics should show only one element? If yes, this would invalidate 99% of all statistical graphics published, leaving behind only the really stupid graphics. If no, what is the relevance of evidence about memory—or is it apprehension at a glance—to the design of statistical graphics?
Why not make the graphic standard similar to the image standard? People see all the time the difference between 1 and 10 megapixel images for digital cameras. An image of a painting is sometimes several hundred megapixels. Such images often pass the instant apprehension test.
Doesn’t the Kosslyn example in the context of this discussion show that there are two separate questions here? One deals with the best or better organization of data for drawing inferences; it seems to me that the “don’t” graph is far better for drawing inferences. But Kosslyn seems to be more interested in memory—whether someone confronting the “don’t” graph would recall it accurately later, even a few seconds later. That’s an empirical questions, but my guess is that it is perhaps easier to recall one or the other of the “do” graphs, but not both?
Perhaps an amusing interpretation of Kosslyn’s page is that the words “don’t do” form a single connected heading over the whole notion of shallow content.
When I first read ET’s Envisioning Information, I highlighted and bookmarked this sentence on p. 35:
This is an excellent antidote to the common belief that visual content must be shallow, when in fact human visual cognition is vastly underutilized.
Then there is Ad Reinhardt’s quote on p. 119 of Visual Explanations that is quite memorable: “As for a picture, if it isn’t worth a thousand words, the hell with it.”
What I find interesting is that there is an assumption in the above references that we all live in an eternal powerpoint presentation or 30 second advertising spot where we have no control over the rate at which the information is being presented and that we have to remember what is being presented.
If you take the graph splitting suggestion given in Kosslyn above you are in fact forcing the use of short-term memory. What if in the two graphs example I want to compare Boston and New York? I have to remember where Boston lies on the first graph. Of course a professional powerpointer would put the graph on two slides to make the task truly difficult.
If I am looking at a web page, unless it is a Flash ‘presentation,’ I can take my time to work out what it all means. Web and print designers often assume that they have x seconds to grab my attention and that I don’t have the time to comprehend what is being presented.
In defense of “Information Architecture for the world wide web”:
Morville, Peter., and Rosenfeld, Louis. Information Architecture for the World Wide Web 2nd Edition (O’Reilly, 2002), Page 68
I recently had to devise an argument against the magical thinking discussed here, and found this research review by Sven Fuchs useful:
HCI 450 – Foundations of Usability
How magical is Miller’s famous Seven for HCI issues?
Dear Mr Tufte,
You have posted a letter from George Miller to me in which he replies to one from me. I think his letter would be better understood if you had printed mine along with it; as it is, you have an answer without the question that prompted it. His reference to Moses, for example, will probably not be understood without a prior reading of my letter to him.
Yours, Mark Halpern
From: Mark Halpern
Sent: Thursday, July 30, 1998 12:04 PM
To: [George Miller, Princeton University]
Subject: citation for your disclaimer
Dear Professor Miller,
The director of the technical writing group which I serve as editor has issued an edict that lists and procedures in our printed and screen-displayed documentation should not exceed seven, or maybe nine at the most, items. This is of course a silly rule, whatever its origin, but I think that its source in this case is a fading memory of a third-hand report of a bad reading of your classic 1956 paper.
Of course you are in no way responsible for the misreadings of your paper, and the silly things done in its name, but I hope you can help my organization, at least, climb back out of the pit it has dug for itself, using your paper as its shovel. I have seen somewhere a quotation from you, or a paraphrase of your words, in which you deplore the strange conclusions that some have drawn from your paper, and express your dismay over all the half-baked rules that people have promulgated, citing it as their authority.
In my attempt to get our director to rescind his bad rule, I would like to be able to quote your very words against him; would you tell me where I might find such words? Or, if what you’ve said in the past is not on record, could I induce you to say now that nothing in your paper should be taken as warrant for asking Moses to discard at least one, and preferably three, of the Commandments?
With my thanks,
Mark Halpern
It’s been a while since I first read this thread, but the updated iPhone entry from June 6 (what with the 3G iPhone allegedly due next week) caught my attention, and I wanted to re-read the Miller “Magic number 7” correspondence.
I had forgotten about the reference to Moses and dropping a commandment, but not completely – some part stuck in my mind. How so?
In my recent presentation training workshops I’ve been using sequences from award winning films to illustrate the importance of story-telling. Films such as “In the heat of the night”, “Jaws”, “Capricorn One”, “Planet of the Apes” and so on. Each scene that I use has a “hook” to it, sometimes including a phrase that has entered colloquial speech, e.g., “You’re gonna need a bigger boat” or “They call me Mister Tibbs!” etc.
But one film sequence I include is one of Mel Brooks’ lesser known films, “History of the world. Part 1”.
The scene I use, in order to demonstrate one of my main theses – don’t stick slavishly to presentation laws (like the 666 one) for which there is no evidence – is one where Mel Brooks, playing Moses, returns with three tablets from Mt. Sinai, and tells the Hebrews who’ve been wandering in the desert that he has 15 commandments to share with them. Unfortunately, as he is about to saying “fifteen” he drops one of the tablets: “Oy… these ten, ten commandments”.
It’s my way of demonstrating that not all laws are set in stone, and some deserve to be broken!
YouTube has a clip of the scene Leo Posen mentions:
Returning to this thread today years after first reading it, I see the message from Mark Halpern expanding on the joke about Moses paring down his over-sized list.
I loved this pithy critique the first time I read it in your copy of Miller’s letter to Halpern, and have used it on occasion to try to deflate nonsense. Once, though, I was stopped in my tracks by someone who pointed out that all of the commercial artists who have rendered Moses’ return from the mountain show that God himself knew enough to spread his bullet points over a pair of stone tablets.
But the 10 (or 15) commandments are sentences, not bullet grunts!
The instructions for presenters at this medical symposium repeat the seven-item myth.
Instructions were complete with atrocious graphic. But the instruction, “No more than 5 words across,” is actually six words if we count the numeral 5 as a “word.”
One wonders how many slides will be required to provide enough information for even a 10-minute presentation, given these suggestions, which, if followed would restrict a given bullet slide to 40 words.
James Gleick has compiled a good history of information in his aptly titled recent book, The Information.
Pages 260 and 261 of the hardcover are of particular interest to this thread:
Gleick says, “Seven seemed to be the number of items that most people could hold in working memory at any only time: seven digits (the typical American telephone number at the time), seven words, or seven objects displayed by and experimental psychologist. The number also kept popping up, Miller claimed, in other sorts of experiments.” (p 260)
There may be some interesting nuances to explore in the various readings of Miller.
SEE ALSO
James Gleick
http://around.com/
The death of George Miller, as reported by the New York Times.
Perhaps more relevant to this forum than Miller’s original is Dave McComb’s short article The magic number 200 +/- 50.
Basically, offload the details to a big display (eg: 36″ x 44″ paper), and you can comprehend a whole lot more.
Quoting a few passages in particular (emphasis mine):